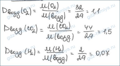
1. Определите, во сколько раз тяжелее (легче) воздуха кислород, углекислый газ, водород, т. е. определите относительную плотность этих газов по воздуху (Dвозд).

2. Зная объемный состав воздуха, найдите количество вещества каждого газа: азота и кислорода — в 100 л воздуха при н.у.

3. Определите число молекул: а) кислорода, б) азота, содержащихся в 22,4 л воздуха при н.у.

4. Вычислите объем воздуха (н.у.), который потребуется для сжигания 20 м3 сероводорода, если при этом образуются вода и оксид серы (IV). Вычислите массу этого воздуха.

5. Приготовьте сообщение о применении кислорода.
Трудно представить нашу жизнь без кислорода. Он служит, прежде всего, для дыхания. Растворенный в воде кислород служит для дыхания обитателей водной среды. Под действием кислорода воздуха и бактерий происходит окисление органических остатков.
В промышленности кислород применяется в металлургии (при выплавке металлов), как окислитель во многих химических производствах, для сварки и резки металлов, в медицинских целях.
Жидкий кислород — окислитель для ракетных топлив, охладитель.
6. Что такое озоновые дыры? Как предупредить их появление?
Озоновые дыры появляются из-за выбросов в атмосферу хладагентов (фреонов), оксидов азота, которые образуются во многих промышленных процессах.
Для предупреждения озоновых дыр необходимо очищать выбросы промышленных предприятий и прекратить использование фреонов.
Озоновые дыры — утоньшение или разрушение озонового слоя атмосферы.

2. Зная объемный состав воздуха, найдите количество вещества каждого газа: азота и кислорода — в 100 л воздуха при н.у.

3. Определите число молекул: а) кислорода, б) азота, содержащихся в 22,4 л воздуха при н.у.

4. Вычислите объем воздуха (н.у.), который потребуется для сжигания 20 м3 сероводорода, если при этом образуются вода и оксид серы (IV). Вычислите массу этого воздуха.

5. Приготовьте сообщение о применении кислорода.
Трудно представить нашу жизнь без кислорода. Он служит, прежде всего, для дыхания. Растворенный в воде кислород служит для дыхания обитателей водной среды. Под действием кислорода воздуха и бактерий происходит окисление органических остатков.
В промышленности кислород применяется в металлургии (при выплавке металлов), как окислитель во многих химических производствах, для сварки и резки металлов, в медицинских целях.
Жидкий кислород — окислитель для ракетных топлив, охладитель.
6. Что такое озоновые дыры? Как предупредить их появление?
Озоновые дыры появляются из-за выбросов в атмосферу хладагентов (фреонов), оксидов азота, которые образуются во многих промышленных процессах.
Для предупреждения озоновых дыр необходимо очищать выбросы промышленных предприятий и прекратить использование фреонов.
Озоновые дыры — утоньшение или разрушение озонового слоя атмосферы.
